Linedance - Junkies

Startseite > Downloads

Tanzsheets

Junkie - Joint.pdf (107655)

SUMMERTIME FEVER.pdf (64041)

THE ONLY THING.pdf (7 9301)

LIGHTNING STRIKES.pdf (65196)

Linedance - Grundschritte.pdf (70096)

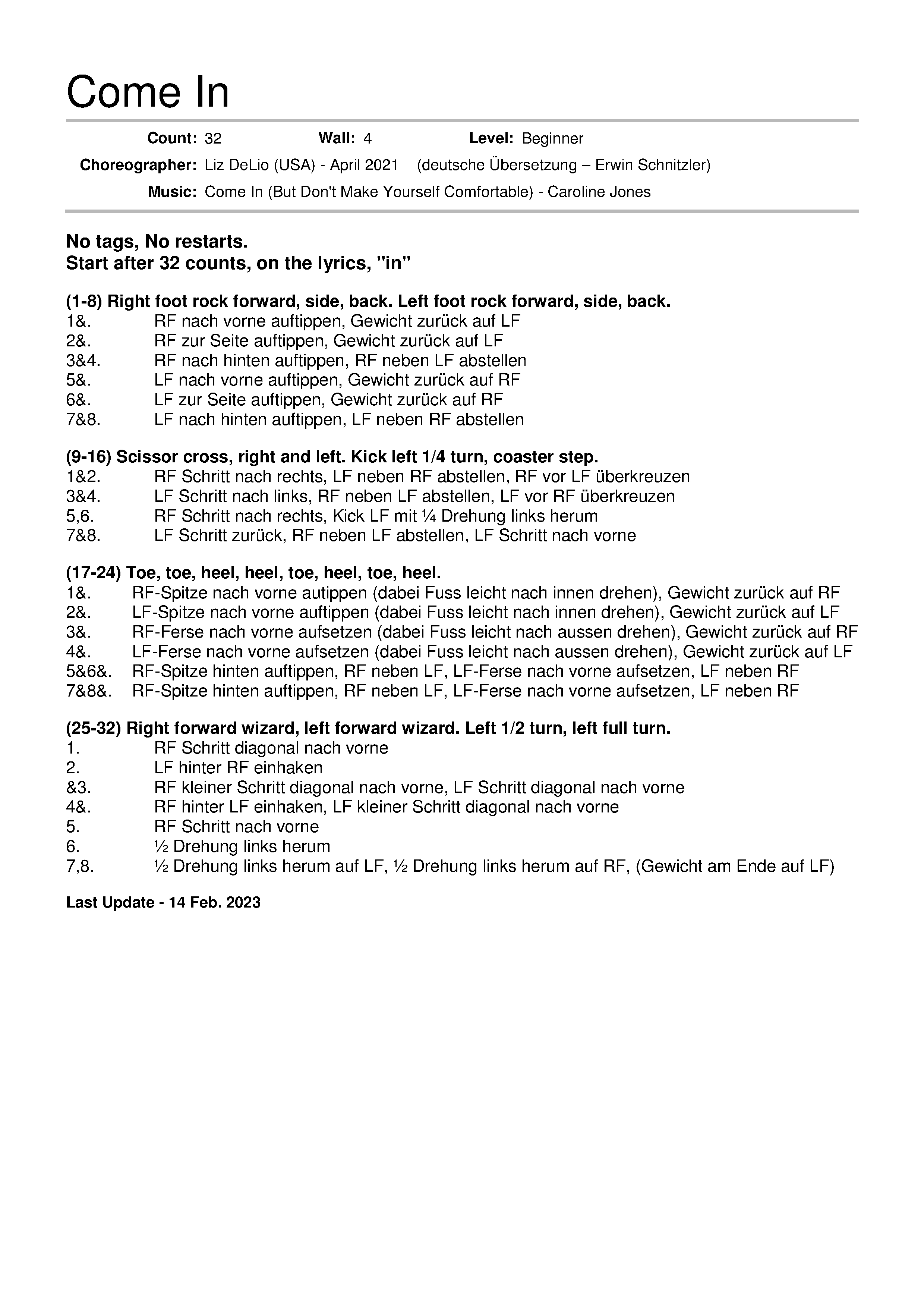
Come In.jpg (1719335)

Two Hundred.jpg (230930)

Down and Dirty.jpg (178825)
Tags - Down - Dirty.jpg (125055)
Tags.jpg (61051)
 

  • Startseite
  • Über uns
  • Kontakt
  • I N F O
  • Schreiben Sie uns
  • Fotogalerie
  • Gästebuch
  • Terminkalender
  • Tänze
  • Mitglieder
  • Downloads
  • Videos
  • Nächstes Training

Durchsuchen

Kontakt

Linedance-Junkies

erwin.schnitzler@aon.at


© 2011 Alle Rechte vorbehalten.
Erstellen Sie kostenlose HomepageWebnode
Startseite Seitenübersicht RSS Drucken
 
Ihre eigene kostenlose Website!
Ihre moderne Website in 5 Minuten
Ausprobieren